2017/06/07企業情報
抗炎症性脂質代謝前駆体「17S-HDHA」を開発しました。

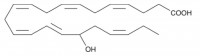
抗炎症性脂質代謝前駆体「17S-HDHA」(試薬)を開発しました。
17S-HDHAは優れた抗炎症機能が国内外で確認されており、第2世代のDHAとして新しいタイプの創薬ターゲットとして期待されています。

抗炎症性脂質代謝前駆体「17S-HDHA」(試薬)を開発しました。
17S-HDHAは優れた抗炎症機能が国内外で確認されており、第2世代のDHAとして新しいタイプの創薬ターゲットとして期待されています。